—— 新闻中心 ——

您知道关键电机参数(功率和扭矩)之间的关系吗?
2025/03/31

          许多客户不清楚电机的参数关系,比如电流大小、功率大小、扭矩大小、电压值以及所需转速。今天我将分享电机相关参数公式,助您更深入了解电机规格。

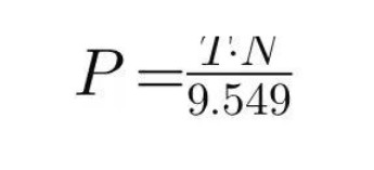
1. 功率 (P)

功率代表电机的输出能力,与扭矩和转速相关:

1743403432765223216861945856.png

P: 功率 (kW 或 W)

.T: 扭矩 (Nm)

.N: 转速 (RPM)

*注:* 英制单位 (HP, lb-ft)

 1743403859765225009696235520.png

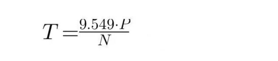
2. 扭矩 (T)

扭矩是旋转力,由功率和转速推导得出:

1743403888765225131066810368.png

·当功率增加或转速降低时,扭矩会增大。